For Sale
, Vulcan county, Alberta, Rural Vulcan County
Beds
Bath
Sqft
$192,500
About Property
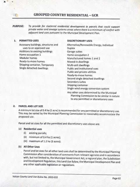
LOT 1. PRIMARY POWER LINES ARE IN !!!! Here is your chance to bring your ideas and purchase your very own acreage lot. With the Grouped Country Residential zoning it will give you numerous options under the permitted and discretionary uses. There are very limited acreage lots available at this size and price. At just under 5 acres the possibilities are endless. For the naturalists these lots still contain untouched prairie wool grasses. The County of Vulcan has been a gem to deal with as well as the inspectors making the development process straight forward. Call your favorite agent today and lets discuss options!!!
Interior Details
Outdoor Details
MLS Number
237054455
Price
$192,500
Bedrooms
Bathroom
Square Footage
sq ft
Property Type
LND
Community Name
Features
,
Parking Space Total
Lot Size
Bathroom Total
0
Bedrooms Total
Appliances
Cooling Type
Constructed Date
Heating Type
Pool
Exterior Finish
Fireplace Present
No
Fireplace Total
Flooring Type
Foundation Type
Half Bath Total
Stories Total
Size Interior
Total Finished Area
Spaces
Details
LEVEL
TYPE
LENGTH
WIDTH
DIMENSIONS
Mr. Amandeep Budhail
Similar Property in Rural Vulcan County
Are You Already Working With Us?
Please submit your email address to get the latest updates






