144, 10 Avenue SE, Alberta, Drumheller
$48,750
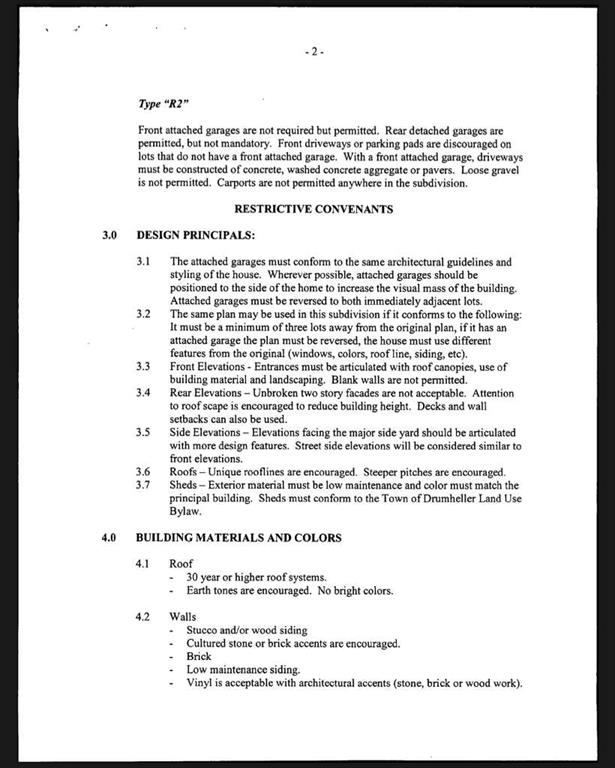
About Property
Residential lots for sale in Drumheller’s newest subdivision of Hillsview! All of these lots offer full services including power, water, sewer and natural gas at the lot line. These lots are ready to built on. The neighborhood is surrounded by the badlands and well located to to downtown Drumheller and the Shops on Highway 9 South. There is the option to combine some of these lots to make your lot even bigger! Start getting your new home plans ready for the Hillsview subdivision today! Limited lots available, so come early to get your choice of lots! Buyer must fill out a development permit application sheet as part of the offer outlining what they will build, who their contractor is, and outline the timeline that starts substantial construction within 8 months and completes construction with 24 months. Offers must be left open for 3 weeks from the date submitted.
Interior Details
Outdoor Details
Mr. Amandeep Budhail
Similar Property in Drumheller
Are You Already Working With Us?
Please submit your email address to get the latest updates









































